Open Access
图11
Download original image
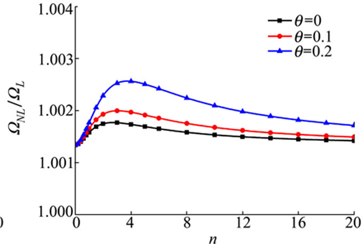
C-F边界条件下不同孔隙率θ和梯度指数n对均匀孔隙分布的多孔功能梯度材料Timoshenko梁非线性无量纲固有频率比值的影响(L/h=20, wmax/r=1)
Current usage metrics show cumulative count of Article Views (full-text article views including HTML views, PDF and ePub downloads, according to the available data) and Abstracts Views on Vision4Press platform.
Data correspond to usage on the plateform after 2015. The current usage metrics is available 48-96 hours after online publication and is updated daily on week days.
Initial download of the metrics may take a while.
