| Issue |
JNWPU
Volume 43, Number 6, December 2025
|
|
|---|---|---|
| Page(s) | 1235 - 1245 | |
| DOI | https://doi.org/10.1051/jnwpu/20254361235 | |
| Published online | 02 February 2026 | |
Discrete Choquet integral based on intuitionistic fuzzy overlap functions and its application in multi-attribute decision making
基于直觉模糊重叠函数的离散Choquet积分及其在多属性决策中的应用
School of Mathematics and Data Sciences, Shaanxi University of Science and Technology, Xi'an 710021, China
Received:
1
April
2025
Abstract
For multi-attribute decision-making problems, a novel method is proposed in this paper, which combines intuitionistic fuzzy overlap functions with discrete Choquet integrals within the intuitionistic fuzzy measure's framework. This approach comprehensively accounts for attribute interdependencies and overlapping relationships in decision scenarios, effectively addressing limitations of existing Choquet integral-based methods. The validity of the proposed method has been verified through concrete case studies, thereby providing a new analytical tool for multi-attribute decision-making.
摘要
针对多属性决策问题, 以直觉模糊测度为基础, 通过融合直觉模糊重叠函数与离散Choquet积分, 提出了一种新的基于直觉模糊重叠函数的多属性决策方法。该方法充分考虑了多属性决策问题中, 属性间的相互重叠或依赖关系, 克服了现有以离散Choquet积分为基础的决策方法的不足。并通过具体案例, 验证了所提方法的有效性, 为多属性决策提供了一个新的工具。
Key words: intuitionistic fuzzy overlap function / intuitionistic fuzzy measure / discrete Choquet integral / multi-attribute decision-making
关键字 : 直觉模糊重叠函数 / 直觉模糊测度 / 离散Choquet积分 / 多属性决策
© 2025 Journal of Northwestern Polytechnical University. All rights reserved.
This is an Open Access article distributed under the terms of the Creative Commons Attribution License (https://creativecommons.org/licenses/by/4.0), which permits unrestricted use, distribution, and reproduction in any medium, provided the original work is properly cited.
直觉模糊集作为经典模糊集的一种有效拓展由Atanassov于1986年[1]提出。相较于Zadeh模糊集,直觉模糊集由隶属函数和非隶属函数构成,是对元素是否属性某一集合的二维描述。直觉模糊集作为模糊信息的一种表达形式,在描述模糊信息时明显优于模糊集。因此在多属性决策、模式识别、医疗诊断等诸多领域直觉模糊集都得到了广泛的研究和应用[2–5]。
重叠函数作为一种非必要结合的聚合函数,由Bustince等[6]于2010年提出。重叠函数一经提出,便吸引了众多学者的关注。相关研究中,文献[7]给出了由重叠函数诱导生成的剩余蕴涵;文献[8]研究了重叠函数的加法生成子;文献[9]引入了离散拟-重叠函数;文献[10]提出了n维重叠函数和广义重叠函数;文献[11]则提出了区间值重叠函数。但通过研究发现现有对重叠函数的讨论大多是在模糊集背景下展开的,而在直觉模糊集背景下展开的研究相对较少。鉴于直觉模糊集在表达模糊信息时表现出来的优势,研究直觉模糊集背景下的重叠函数很有必要。为此,文献[12]提出了直觉模糊重叠函数的概念。直觉模糊重叠函数的提出不仅丰富了重叠函数的理论研究体系,还拓展了重叠函数的应用范围。
多属性决策是决策科学中的一个重要分支,用于在多个相互关联的属性(或准则)下,从有限个备选方案中选择最优方案。它广泛应用于经济管理、风险评估、资源分配等领域,特别适合解决复杂系统中涉及多维度权衡的问题[13–16]。离散Choquet积分作为一种非可加积分,能够有效处理非可加测度下的交互效应。然而,实际应用中,属性间往往存在某种更为复杂的重叠或相互依赖关系,若属性间的这种重叠或依赖关系未被充分建模,将直接影响决策结果的可靠性。例如,医疗资源分配中,地域人口密度与传染病传播速率之间呈现相互依赖关系,因此在决策时需要考虑这种关系。再比如,文献[17]对电子行业经济效益与环保平衡问题进行评估时,采用了二可加模糊测度(2-additive)对属性进行建模,但电子行业存在多属性耦合问题,仅采用二可加模糊测度,无法捕捉高阶的交互信息,如价格、碳足迹和回收率三者的联合效应,因此需要对现有方法进行改进。
本文的主要目的就是将直觉模糊重叠函数融入到离散Choquet积分的研究中,设计一种新的多属性决策方法,有效克服以模糊测度为基础的决策方法的不足。并通过具体案例,验证本文所提方法的合理性和普适性。
1 预备知识
本节回顾直觉模糊集、模糊测度、Choquet积分、直觉模糊重叠函数的概念。
1.1 直觉模糊集
定义1[18] 设 X ={x1, x2, …, xn}是一个非空论域, X上的模糊集定义为

式中,μA: X →[0, 1]表示元素x属于 A的隶属度。
定义2[1] 设 X ={x1, x2, …, xn}是一个非空论域, X上的直觉模糊集定义为

式中,μA(x): X →[0, 1]和νA(x): X →[0, 1]分别表示元素x属于 A的隶属度和非隶属度函数, 且0≤μA(x)+νA(x)≤1。进而, πA(x)=1-μA(x)-νA(x)表示元素x是否属于A的不确定性程度。此外, Xu等[19]称直觉模糊集中的元素为直觉模糊数, 简记为A=(μA, νA)。
设 A和B是论域X上的2个直觉模糊集, 直觉模糊集间的关系及运算法则如下:
1) A⊆B⇔μA(x)≤μB(x)且νA(x)≥νB(x);
2) A⊗B = {(x, μA(x)·μB(x), νA(x) + νB(x)-νA(x)· νB(x)) x∈X};
3) A⊕B={(x, μA(x)+μB(x)-μA(x)·μB(x), νA(x)· νB(x)) x∈X};
4) A-B=A⊗ Bc, 即

根据上述运算法则, 对于任意2个直觉模糊数x=(x1, x2), y=(y1, y2), 令p=x⊕y和q=λx, 则p和q都是直觉模糊数[20]。
由于定义2中的序关系存在不可比较的数对, 不能直接用来比较直觉模糊数。因此, 需要引入分数函数和精确函数来比较2个直觉模糊数的大小。
定义3[21] 设x=(x1, x2), y=(y1, y2)是2个直觉模糊数, S(x)=x1-x2和S(y)=y1-y2分别是x和y的分数函数, H(x)=x1+x2和H(y)=y1+y2分别是x和y的精确函数, 则
1) 若S(x) < S(y), 则x比y小, 记作x<y;
2) 若S(x)=S(y), 此时, 如果H(x) < H(y), 则x比y小, 记作x<y; 如果H(x)=H(y), 则x和y表示相同的信息, 记作x=y。
1.2 模糊测度和Choquet积分
定义4[22] 集合X上的模糊测度ω是一个集合函数ω: P(X)→[0, 1], 满足如下条件:
1) ω(∅)=0, ω(X)=1;
2) 对于B, C ⊆ X, 若B ⊆C, 则ω(B)≤ω(C);
3) 对于B, C ⊆ X且B ∩C=∅, 且ρ∈(-1, ∞), ω B∪C =ω(B)+ω(C)+ρω(B)ω(C)。
接下来, 基于定义4, 使用Choquet积分[23]构建一些用于聚合带有权重的直觉模糊数的聚合算子。
定义5[24] 设xi=(μ(xi), ν(xi))是n个直觉模糊数, ω是X上的模糊测度, 称(1)式为直觉模糊相关平均IFCA算子。
(1)
式中:∫xdω表示Choquet积分, x(i)表示X上使得x(1)≤x(2)≤…≤x(n)的排列, 对于k≥1, 有 B(k)={x(j)|j≤k}, B(n+1)=∅。
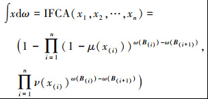
依据直觉模糊数的运算规则, 通过归纳法可知IFCA算子(1)式可以转换为
(2)
1.3 直觉模糊测度
定义6[25] 设X为非空集合, m: P(X)→ L*(L*为直觉模糊集)是幂集P(X)上的映射, 若m满足以下条件:
1) m(∅)=(0, 1)=0L*;
2) m(X)=(1, 0)=1L*;
3) 若 B, C ∈P(X)且B⊆C, 则m(B)≤m(C), 则称m是X上的直觉模糊测度。
命题1[26] 设X为非空集合, 幂集P(X)上的映射m: P(X)→ L*定义为m=(ω(1), ω(2)), 其中ω(1), ω(2)是X上的模糊测度, 满足如下条件:
1) m(∅) = (ω(1)(∅), ω(2)(∅)) = (0, 1) = 0L*;
2) m(X)=(ω(1)(X), ω(2)(X))=(1, 0)=1L*;
3) 若 B, C ∈P(X)且B⊆C, 则ω(1)(B)≤ω(1)(C)且ω(2)(B)≥ω(2)(C);
4) ∀B∈P(X), ω(1)(B)+ω(2)(B)≤1, 则m是X上的直觉模糊测度。
事实上, 命题1给出了直觉模糊测度的一种表示方法, 即直觉模糊测度可由2个模糊测度来表示。
1.4 直觉模糊重叠函数
定义7[6] 若二元函数O: [0, 1]2→[0, 1]满足∀x, y, z∈[0, 1]:
1) O (x, y)=O(y, x);
2) O (x, y)=0⇔xy=0;
3) O (x, y)=1⇔xy=1;
4) 若y≤z, 则(x, y)≤O(x, z);
5) O关于每个变量都是连续的,
则称 O是重叠函数。
定义8[12] 若二元函数O: L*× L*→ L*满足∀x, y, z∈ L*:
1) O(x, y)=O(y, x);
2) O(x, y)=0L*⇔x=0L*或y=0L*;
3) O(x, y)=1L*⇔x=y=1L*;
4) 若y≤L*z, 则O(x, y)≤L*O(x, z);
5) O是连续的, 即∀i∈I, yi∈ L*, 有O(x, ∨i∈Iyi)=∨i∈IO(x, yi), O(x, ∧i∈Iyi)=∧i∈IO(x, yi), 则称O是直觉模糊重叠函数。
定义9[12] 若存在2个重叠函数 O1和 O2, 且 O1≤ O2, 对于任意的x=(x1, x2), y=(y1, y2), 有O(x, y)=〈O1(x1, y1), 1-O2(1-x2, 1-y2)〉, 则O称为可表示的直觉模糊重叠函数。
2 基于直觉模糊重叠函数的离散Choquet积分
本节的主要目的是将直觉模糊重叠函数与离散Choquet积分相结合, 构造一种基于直觉模糊重叠函数的离散Choquet积分。
定义10[27] 设f是X上正的实值函数, ω是X上的模糊测度, f的离散Choquet积分为
Cm: [0, 1]n→[0, 1], 定义为
(3)
式中,f(i)表示X上使得f(1)≤f(2)≤…≤f(n)的排列, 并且 A(i)={(i), (i+1), …, (n)}, A(n+1)=∅。
定义11[28] 设xi=(xi1, xi2)(i=1, 2, …, n)是X上的直觉模糊数, ω是X上的模糊测度, 则xi关于ω的离散Choquet积分定义为
(4)
式中,x(i)表示X上使得x(1)≤x(2)≤…≤x(n)的排列, 同样有 A(i)={(i), (i+1), …, (n)}, A(n+1)=∅。
已有多属性决策方法通常假设各属性之间相互独立, 忽略了现实世界中普遍存在的属性交互作用(如冗余、协同等)。这种理想化假设导致现有Choquet积分模型在刻画复杂依赖关系时存在局限性, 难以实现精准的决策支持。针对这一缺陷, 本文提出如下解决方法: 首先引入调节参数α将经典模糊测度拓展为直觉模糊测度, 构建“支持-反对-犹豫”的三维信息表示方式; 然后将直觉模糊重叠函数和直觉模糊测度嵌入到离散Choquet积分中, 以协调属性间的依赖关系, 最后通过分数函数实现多属性决策问题的求解。
在模糊测度已知情形下, 给出如下直觉模糊测度构造方法。
命题2 给定一个模糊测度ω: P(X)→[0, 1], 构造映射m: P(X)→ L*为

则映射m是直觉模糊测度, 其中ω(A)表示集合A的隶属度; α∈[0, 1]是一个调节参数, 用于控制非隶属度的强度, α(1-ω(A))表示集合A的非隶属度。
证明 需证本命题满足命题1中的4个条件。
1) 边界条件: 对于空集∅有, m(∅)=0L*;
对于全集X有m(X) = (ω(X), α(1-ω(X)))=(1, α(1-1))=(1, 0)=1L*。
2) 单调性: ∀B⊆C, 有ω(B)≤ω(C), 则ω(1)(B)=ω(B)≤ω(C)=ω(1)(C), ω(2)(B)=α(1-ω(B))≥α(1-ω(C))=ω(2)(C)。
3) 直觉模糊数条件: ∀B∈P(X), ω(1)(B)+ω(2)(B)=ω(B)+α(1-ω(B))≤ω(B)+(1-ω(B))≤1, 满足直觉模糊数条件。
综上, 映射m是直觉模糊测度。
命题2中, 参数α=1时, 非隶属度完全由1-ω(A)决定, 此时m(A)=(ω(A), 1-ω(A)); 参数α < 1时, 非隶属度被削弱, 适用于需要降低非隶属度影响的场景; 参数α=0时, 非隶属度为0, 此时直觉模糊测度退化为经典模糊测度。
通过参数α, 可以调节非隶属度的强度, 在处理不同决策场景时提供更大的灵活性。例如, 在评估不同方案时, 每个属性的测度不仅考虑支持程度, 还通过α调整反对程度, 这样综合评估时能更灵活地反映决策者的偏好和风险态度。这种构造方法既保留了模糊测度的优点, 又增加了对非隶属度的灵活控制。
例1 假设医生需要根据患者的症状评估其患心脏病的风险。设X={x1, x2}={胸痛严重程度, 心电图异常指数}, 其中x1=(0.7, 0.2), x2=(0.6, 0.2)。定义2个症状的交互作用权重, 即模糊测度ω如下: ω({x1})=0.5, ω({x2})=0.4, ω(X)=1。取α=0.8, 则可以构造直觉模糊测度m如下:

例1中以胸痛症状为例, 直觉模糊测度m({x1})=(0.5, 0.4)含义为: 隶属度0.5, 表示胸痛症状对心脏病诊断的支持程度较高, 说明该症状在评估中占重要地位; 非隶属度0.4, 表示胸痛症状有部分可能性与心脏病无关, 即反对该诊断的程度; 犹豫度为π=1-0.5-0.4=0.1, 反映医生对胸痛是否为典型心脏病症状的不确定性, 占比10%。
通过直觉模糊测度, 不仅量化了症状的“支持”和“反对”程度, 还通过犹豫度体现了决策中的未知因素, 使评估更全面。
下面给出基于直觉模糊测度和直觉模糊重叠函数的离散Choquet积分的定义。
定义12 设xi=(xi1, xi2)(i=1, 2, …, n)是X上的直觉模糊数, m: P(X)→ L*是直觉模糊测度, O: L*× L*→ L*是可表示的直觉模糊重叠函数, 则∀xi∈ L*, 离散Choquet-积分CmO: (L*)n→ L*定义为
(5)
式中, x(i)表示X上使得x(1)≤x(2)≤…≤x(n)的排列, Δm(A(i))=m(A(i))-m(A(i+1))是直觉模糊测度增量,并且 A(i)={(i), (i+1), …, (n)}, A(n+1)=∅。
例2 令O(x, y)=(x1y1, 1-(1-x2)(1-y2)), 根据例1的数据可知x2≤x1, 此时直觉模糊测度增量Δm(A(1))=m({X})-m({x1})=(1, 0)-(0.5, 0.4)=(0.4, 0.5), Δm(A(2))=m({x1})-m({∅})=(0.5, 0.4)-(0, 1)=(0.5, 0.4)。
利用(4)式有Cm(X) = ((0.6, 0.2)(1-0.5))⊕((0.7, 0.2)(0.5-0))=(1-(1-0.6)0.5×(1-0.7)0.5, 0.20.5×0.20.5)=(0.65, 0.2), 其犹豫度π1=1-0.65-0.2=0.15。
利用(5)式, 有CmO(X)=O((0.6, 0.2), Δm(A(1)))⊕O((0.7, 0.2), Δm(A(2)))=(0.24, 0.6)⊕(0.35, 0.52)=(0.506, 0.312), 其犹豫度π2=1-0.506-0.312=0.182。
上述结果表明, 当属性值为直觉模糊数时, 采用模糊测度和直觉模糊测度得到的离散Choquet积分值有所不同, 犹豫度也有所差别。使用模糊测度时, 只考虑了存在某症状确诊为某疾病的权重, 并没有考虑存在某症状排除某疾病的权重和不确定是否为某疾病的权重, 而直觉模糊测度可以弥补以上不足, 使得决策更加精确。
3 基于直觉模糊重叠函数的离散Choquet积分的多属性决策方法
3.1 算法步骤
设决策集为S={s1, s2, …, sm}, 评价指标(属性)集为X={x1, x2, …, xn}。决策者对于方案si按指标xj进行测度, 假设方案si在指标xj下的特征信息用1个直觉模糊数表示, 记为aij=(tij, fij)。以下给出相应的多属性决策方案, 具体步骤为:
第1步(决策矩阵构建): 决策者给出各方案si(i=1, 2, …, m)在各指标xj(j=1, 2, …, n)下的评估值aij=(tij, fij), 得到决策矩阵

此时, 算法的复杂度为o(mn), 其中m为方案数量, n为属性数量, 符号o表示时间复杂度, 用于描述算法在最坏情况下的时间或空间需求随输入规模增长的上界(即增长率上限)(本节o的含义相同)。
第2步(直觉模糊数排序): 根据直觉模糊数的分数函数和精确函数, 对每一个方案案si在指标xj(j=1, 2, …, n)下的直觉模糊数进行从小到大排名。基于分数函数和精确函数, 对每个方案的属性值进行排序的时间复杂度为o(nlog2n), 其中n为属性数量。对于m个方案, 总复杂度为o(mnlog2n)。
第3步(直觉模糊测度计算): 计算各个属性和属性集的直觉模糊测度(权重)。计算所有子集的测度增量Δm(A(i))需要遍历所有可能的属性组合。若属性数量为n, 则子集数量为2n, 此步骤的计算复杂度为o(2n)。
第4步(离散Choquet积分计算): 利用定义12构造的离散Choquet积分对决策矩阵X按行(即每个方案)进行计算, 得到对应方案的综合评价值。其中, 可表示的直觉模糊重叠函数为 

。每个方案的积分计算需要对n个属性进行直觉模糊重叠函数Ο和测度增量的运算, 复杂度为o(mn2)。
第5步: 计算各方案综合评价值的分数函数和精确函数, 进行排名择优。计算分数函数和排序的时间复杂度为o(mlog2m)。
由上可知, 上述算法总复杂度为o(mn2+2n)(最坏情况)。同时, 由于不同方案的排序和积分计算过程相对独立, 该算法支持并行化处理, 能够支持大规模数据场景下的运算。
3.2 案例1:信息技术改进项目的优先级排名
3.2.1 背景介绍
某公司的信息管理指导委员会必须对由各部门经理提出的10个信息技术改进项目进行优先排名(数据来源于文献[24]), 这些项目集合为S={s1, s2, …, s10}, s1表示质量管理信息, s2表示库存控制, s3表示客户订单追踪, s4表示材料采购管理, s5表示车队管理, s6表示设计变更管理, s7表示电子邮件, s8表示客户退货与投诉, s9表示员工技能追踪, s10表示预算分析。
委员会希望根据每个项目对公司战略目标在行业中获得竞争优势的潜在贡献, 进行从高到低的优先级排名。为评估每个项目的潜在贡献, 考虑3个因素: X={x1, x2, x3} ={生产力, 差异化, 管理}。其中, 生产力用于评估拟议项目服务运营的有效性和效率, 差异化用于评估公司的产品和服务与竞争对手的受欢迎程度; 管理因素用来评估项目实施过程中的管理风险。
3.2.2 决策过程及结果分析
委员会对于3个评估因素给出如下模糊测度: ω(∅)=0, ω({x1})=ω({x2})=0.4, ω({x3})=0.3, ω({x1, x2})=0.6, ω({x1, x3})=ω({x2, x3})=0.8, ω({x1, x2, x3})=1。
首先根据3个评估因素对10个项目进行初步评估, 得到决策矩阵, 如表 1所示。
使用新构造的离散Choquet积分和IFCA算子计算每个项目对应的评估信息。
1) 不同直觉模糊重叠函数下的项目排名
① 基于直觉模糊重叠函数O1的排名结果
经计算当α=0.1~0.4时, 10个项目的排名均为s7 < s9 < s10 < s5 < s3 < s8 < s6 < s2 < s4 < s1(见表 2)。
当α=0.5~0.9时, 10个项目的排名均为s7 < s9 < s10 < s5 < s3 < s6 < s8 < s4 < s2 < s1(见表 2)。
当α=1时, 10个项目的排名为s7 < s9 < s10 < s5 < s3 < s6 < s4 < s8 < s2 < s1(见表 2)。
② 基于直觉模糊重叠函数O2的排名结果:
经计算当α=0.1时, 项目的排名为s7 < s9 < s5 < s10 < s8 < s3 < s4 < s6 < s2 < s1(见表 3);
当α=0.2时, 项目排名为s9 < s7 < s5 < s10 < s3 < s8 < s4 < s6 < s2 < s1(见表 3);
当α=0.3时, 项目排名为s9 < s7 < s10 < s5 < s3 < s8 < s4 < s6 < s2 < s1(见表 3);
当α=0.4时, 项目排名为s7 < s9 < s10 < s5 < s3 < s4 < s6 < s8 < s2 < s1(见表 3);
当α=0.6时, 项目的排名为s7 < s9 < s10 < s5 < s6 < s4 < s3 < s8 < s2 < s1(见表 3);
当α=0.5, α=0.7~1时, 项目的排名均为s7 < s9 < s10 < s5 < s3 < s6 < s4 < s8 < s2 < s1(见表 3)。
③ 基于IFCA算子的排名结果:
文献[24]中, 使用(2)式IFCA算子的积分结果是(0.31, 0.35)<(0.46, 0.35)<(0.52, 0.31)<(0.49, 0.20)<(0.51, 0.14)<(0.60, 0.19)<(0.69, 0.26)<(0.63, 0.13)<(0.76, 0.17)<(0.81, 0.14), 10个项目排名为s7 < s10 < s5 < s3 < s4 < s6 < s8 < s9 < s2 < s1, 可知最佳项目为s1。
由上述结果可知, 使用不同方法得到的最佳项目均为s1, 由此说明本文提出的新方法是可行的。
2) 不同调节参数下的犹豫度结果分析
在处理多属性决策问题时, 犹豫度是直觉模糊集理论中的重要指标, 反映了决策过程中信息的不确定性。高犹豫度会导致决策结果可信度下降, 因此需通过参数调节降低犹豫度以提升稳定性。本案例中, 为评估每个项目的潜在贡献, 每个项目的积分结果应越稳定越好, 其指标犹豫度应越小越好。具体分析如下。
① 基于函数O1的犹豫度变化趋势
项目s1, s2, s4, s5, s6在参数0.9≤α≤1时的犹豫度低于IFCA算子的犹豫度, 表明此参数区间能有效抑制不确定性, 使积分结果更倾向于确定性高的评估值, 结果更优更稳定(以s1和s6为例, 见图 1和图 2)。
项目s3在参数0.7≤α≤1时的犹豫度低于IFCA算子的犹豫度, 结果更优更稳定(见图 3)。
项目s7, s8, s10在参数0.8≤α≤1的犹豫度低于IFCA算子的犹豫度, 结果更优更稳定(以s7为例, 见图 4)。
项目s9在参数的取值范围内的犹豫度高于IFCA算子的犹豫度, 没有表现出优势(见图 5)。
② 基于函数O2的犹豫度变化趋势:
根据图示可知, 项目s1, s2, s4, s5, s6, s8在参数0.9≤α≤1时的犹豫度低于IFCA算子的犹豫度, 结果更优更稳定(以s2为例, 见图 6)。
项目s3, s7, s10在参数0.8≤α≤1的犹豫度低于IFCA算子的犹豫度, 结果更优更稳定(以s3为例, 见图 7)。
项目s9在参数的取值范围内的犹豫度高于IFCA算子的犹豫度, 没有表现出优势(见图 8)。
图 1~8中横坐标表示参数α, 纵坐标表示犹豫度π, 红色直线表示使用IFCA算子得到的犹豫度参考值, 蓝色虚线表示项目si随参数α的变化曲线, 即本文方法的积分结果。
从以上分析可知, 决策过程中, 重叠函数的选择对决策结果具有很大影响。例如对于项目s3, 基于函数O1, 项目在0.7≤α≤1时表现更好, 基于函数O2, 项目在0.8≤α≤1时表现更好, 因此决策过程中需要谨慎选择重叠函数。
与此同时, 当0.7≤α≤1时, 基于不同重叠函数构造的离散Choquet积分所得结果的犹豫度普遍低于IFCA算子的犹豫度, 表明其不确定性更低、稳定性更强。此时, 模型在不确定性与信息完备性之间达到最佳平衡: 既保留了充足有效的决策信息, 又有效抑制了高度不确定数据的干扰, 使积分结果可靠性显著提升, 决策风险降低。
指标xj下项目si的决策矩阵
基于函数O1参数α从0.1~1.0的积分结果
基于函数O2参数α从0.1~1.0的积分结果
![]() |
图1 项目s1的犹豫度随α变化趋势 |
![]() |
图2 项目s6的犹豫度随α变化趋势 |
![]() |
图3 项目s3的犹豫度随α变化趋势 |
![]() |
图4 项目s7的犹豫度随α变化趋势 |
![]() |
图5 项目s9的犹豫度随α变化趋势 |
![]() |
图6 项目s2的犹豫度随α变化趋势 |
![]() |
图7 项目s3的犹豫度随α变化趋势 |
![]() |
图8 项目s9的犹豫度随α变化趋势 |
3.3 案例2:基于绿色准则的汽车供应商环境绩效评估
3.3.1 背景介绍
根据国际汽车制造商组织的统计数据, 1999至2014年间, 伊朗汽车年产量从119 419辆跃升至1 090 846辆。随着伊朗汽车年产量及制造企业数量的增长, 环境问题备受关注。本案例以伊朗某知名汽车制造商的核心供应商工厂为评估对象, 在传统评估标准基础上, 结合绿色供应商准则与可持续供应商准则, 运用所提方法对4家候选供应商的环境绩效进行评价与排序, 以确定环境绩效最优的供应商(数据来源于文献[29])。
本案例中候选供应商S={s1, s2, s3, s4}, 专家组给出6个评估标准: C1表示成本, 包括生产成本、运输成本、回收成本、财务能力; C2表示时间, 包括生产时间、运输时间; C3表示交付, 包括交货周期、订单履行率; C4表示质量, 包括质量相关认证、不合格率、质量保证; C5表示绿色原则, 包括污染控制、有害物质消除、绿色形象、包装、环保技术、环境认证; C6表示社会责任, 包括社会责任、管理层承诺、利益相关方权益。
3.3.2 决策过程及结果分析
专家组针对6个评估标准给出的模糊测度为:
ω(∅)=0, ω({C1})=0.4, ω({C2})=0.3, ω({C3})=0.3, ω({C4})=0.3, ω({C5})=0.2, ω({C6})=0.2, ω({C1, C2})=0.60, ω({C1, C3})=0.60, ω({C1, C4})=0.60, ω({C1, C5})=0.53, ω({C1, C6})=0.53, ω({C2, C3})=0.53, ω({C2, C4})=0.53, ω({C2, C5})=0.45, ω({C2, C6})=0.45, ω({C3, C4})=0.53, ω({C3, C5})=0.45, ω({C3, C6})=0.45, ω({C4, C5})=0.45, ω({C4, C6})=0.45, ω({C5, C6})=0.37, ω({C1, C2, C3})=0.76, ω({C1, C2, C4})=0.76, ω({C1, C2, C5})=0.71, ω({C1, C2, C6})=0.71, ω({C1, C3, C4})=0.76, ω({C1, C3, C5})=0.71, ω({C1, C3, C6})=0.71, ω({C1, C4, C5})=0.71, ω({C1, C4, C6})=0.71, ω({C1, C5, C6})=0.65, ω({C2, C3, C4})=0.70, ω({C2, C3, C5})=0.65, ω({C2, C3, C6})=0.65, ω({C2, C4, C5})=0.65, ω({C2, C4, C6})=0.65, ω({C2, C5, C6})=0.58, ω({C3, C4, C5})=0.65, ω({C3, C4, C6})=0.65, ω({C3, C5, C6})=0.58, ω({C4, C5, C6})=0.58, ω({C1, C2, C3, C4})=0.88, ω({C1, C2, C3, C5})=0.85, ω({C1, C2, C3, C6})=0.85, ω({C1, C2, C4, C5})=0.85, ω({C1, C2, C4, C6})=0.85, ω({C1, C2, C5, C6})=0.80, ω({C1, C3, C4, C5})=0.85, ω({C1, C3, C4, C6})=0.85, ω({C1, C3, C5, C6})=0.80, ω({C1, C4, C5, C6})=0.80, ω({C2, C3, C4, C5})=0.80, ω({C2, C3, C4, C6})=0.80, ω({C2, C3, C5, C6})=0.75, ω({C2, C4, C5, C6})=0.75, ω({C3, C4, C5, C6})=0.75, ω({C1, C2, C3, C4, C5})=0.95, ω({C1, C2, C3, C4, C6})=0.95, ω({C1, C2, C3, C5, C6})=0.92, ω({C1, C2, C4, C5, C6})=0.92, ω({C1, C3, C4, C5, C6})=0.92, ω({C2, C3, C4, C5, C6})=0.9, ω({C1, C2, C3, C4, C5, C6})=1.0。
首先根据6个标准对候选供应商进行初步评估, 得到决策矩阵如表 4所示。
使用本文构造的离散Choquet积分和IFCA算子, 计算每个候选供应商的评估信息。
1) 不同直觉模糊重叠函数下供应商排名
① 当α=0.1~1时, 基于直觉模糊重叠函数O1的候选供应商排名均为s1 < s2 < s4 < s3(见表 5)。
② 当α=0.1~1时, 基于直觉模糊重叠函数O2的候选供应商排名均为s1 < s2 < s4 < s3(见表 6)。
③ 基于IFCA算子的排名结果:
文献[29]中, 使用IFCA算子进行排序, 4家候选供应商的环境绩效优劣排名为s1 < s2 < s4 < s3, 可知环境绩效最优的供应商为s3。
由上述结果可知, 使用本文所提方法得到的最优供应商和使用IFCA方法得到的结论相同, 最优的供应商均为s3。
2) 不同调节参数下的犹豫度结果分析
本案例中, 与案例1类似, 4家供应商的积分结果应越稳定越好, 其指标犹豫度应越小越好。
① 基于函数O1的犹豫度变化趋势
供应商s1和s3在参数0.9≤α≤1时的犹豫度低于IFCA算子的犹豫度, 结果更稳定(s1为例, 见图 9)。
供应商s2和s4在参数0.8≤α≤1时的犹豫度低于IFCA算子的犹豫度, 结果更稳定(s2为例, 见图 10)。
② 基于函数O2的犹豫度变化趋势:
供应商s1, s2, s3, s4在参数0.9≤α≤1时的犹豫度低于IFCA算子的犹豫度, 结果更优更稳定(s3为例, 见图 11), 4家候选供应商的稳定性更优。
由上述分析可知, 基于函数O1供应商s2和s4在参数0.8≤α≤1时表现稳定, 基于函数O2的4家供应商在参数0.9≤α≤1时表现稳定, 因此高风险场景用O2, 低风险场景用O1, 可降低初期筛选的信息损失。
标准Ci下候选供应商si的决策矩阵
基于函数O1参数α从0.1~1.0的积分结果
基于函数O2参数α从0.1~1.0的积分结果
![]() |
图9 项目s1的犹豫度随α变化趋势 |
![]() |
图10 项目s2的犹豫度随α变化趋势 |
![]() |
图11 项目s3的犹豫度随α变化趋势 |
4 结论
现有基于模糊测度的离散Choquet积分的多属性决策方法, 通常应用于具有独立交互作用的决策场景, 而对于具有复杂交互或矛盾信息的决策问题效果不佳。针对这一缺陷, 本文提出了一种基于直觉模糊重叠函数的改进算法。该方法通过引入调节参数α将经典模糊测度拓展为直觉模糊测度, 构建了“支持-反对-犹豫”三维信息表达方法, 并利用直觉模糊重叠函数构造新的Choquet积分, 提出一种新的多属性决策方法, 并通过实例说明了所提出方法的可行性。未来研究中, 将聚焦新构造的离散Choquet积分在模式识别、医学诊断和聚类分析等领域中的应用。
References
- ATANASSOV K. Intuitionistic fuzzy sets[J]. Fuzzy Sets System, 1986, 20(1): 87–96. [Article] [Google Scholar]
- ALI W, SHAHEEN T, HAQ I U, et al. Multiple-attribute decision making based on intuitionistic hesitant fuzzy connection set environment[J]. Symmetry, 2023, 15(3): 778. [Article] [Google Scholar]
- KUMAR R, KUMAR S. A novel intuitionistic fuzzy similarity measure with applications in decision-making, pattern recognition, and clustering problems[J]. Granular Computing, 2023, 8(5): 1027–1050. [Article] [Google Scholar]
- YU Peng, LI Ranran. (N, U)-implication: a kind of new fuzzy implication constructed by uninorms and fuzzy negation[J]. Journal of Shandong University, 2023, 58(5): 1–9 (in Chinese) [Google Scholar]
- WU X, TANG H, ZHU Z, et al. Nonlinear strict distance and similarity measures for intuitionistic fuzzy sets with applications to pattern classification and medical diagnosis[J]. Scientific Reports, 2023, 13(1): 13918. [Article] [Google Scholar]
- BUSTINCE H, FERNANDEZ J, MESIAR R, et al. Overlap functions[J]. Nonlinear Analysis: Theory, Methods & Applications, 2010, 72(3/4): 1488–1499 [Google Scholar]
- DIMURO G P, BEDREGAL B. On residual implications derived from overlap functions[J]. Information Sciences, 2015, 312: 78–88. [Article] [Google Scholar]
- DIMURO G P, BEDREGAL B, BUSTINCE H, et al. On additive generators of overlap functions[J]. Fuzzy Sets and Systems, 2016, 287: 76–96. [Article] [Google Scholar]
- QIAO J. On discrete quasi-overlap functions[J]. Information Sciences, 2022, 584: 603–617. [Article] [Google Scholar]
- ELKANO M, GALAR M, SANZ J A, et al. Enhancing multiclass classification in FARC-HD fuzzy classifier: on the synergy between n-dimensional overlap functions and decomposition strategies[J]. IEEE Trans on Fuzzy Systems, 2014, 23(5): 1562–1580 [Google Scholar]
- QIAO J, HU B Q. On interval additive generators of interval overlap functions and interval grouping functions[J]. Fuzzy Sets and Systems, 2017, 323: 19–55. [Article] [Google Scholar]
- WEN X, ZHANG X, LEI T. Intuitionistic fuzzy(IF) overlap functions and IF-rough sets with applications[J]. Symmetry, 2021, 13(8): 1494. [Article] [Google Scholar]
- PUŠKA A, BEGANOVIC A I, ŠADIC S. Model for investment decision making by applying the multi-criteria analysis method[J]. Serbian Journal of Management, 2018, 13(1): 7–28. [Article] [Google Scholar]
- YU Peng, DANG Siyu, LI Ranran. U-modus ponens, U-modus tollens and U-hypothetical syllogism property of(G, N)-implication[J]. Journal of Shaanxi University of Science & Technology, 2024, 42(2): 224–232 (in Chinese) [Google Scholar]
- PARASKEVAS A, MADAS M. A hybrid decision-making conceptual framework based on generalized information quality under neutrosophic evidence theory: a comparative analysis[J]. Operational Research, 2025, 25(1): 1–23. [Article] [Google Scholar]
- SONG H X, YU P, LIU H. From pre-(quasi-) grouping functions to directional monotonic fuzzy implications[J]. Fuzzy Sets and Systems, 2023, 466: 108445. [Article] [Google Scholar]
- WU Y, XU C, HUANG Y, et al. Green supplier selection of electric vehicle charging based on Choquet integral and type-2 fuzzy uncertainty[J]. Soft Computing, 2020, 24(5): 3781–3795. [Article] [Google Scholar]
- ZADEH L A. Fuzzy sets[J]. Information and control, 1965, 8(3): 338–353. [Article] [Google Scholar]
- XU Z S, YAGER R R. Some geometric aggregation operators based on intuitionistic fuzzy sets[J]. International Journal of General Systems, 2006, 35(4): 417–433. [Article] [Google Scholar]
- XU Z. Intuitionistic fuzzy aggregation operators[J]. IEEE Trans on Fuzzy Systems, 2007, 15(6): 1179–1187. [Article] [Google Scholar]
- HONG D H, CHOI C H. Multicriteria fuzzy decision-making problems based on vague set theory[J]. Fuzzy Sets and Systems, 2000, 114(1): 103–113. [Article] [Google Scholar]
- URBANSKI M K, WA J. Fuzzy measurement theory[J]. Measurement, 2008, 41(4): 391–402. [Article] [Google Scholar]
- CHOQUET Gustave. Theory of capacities[C]//Annales de l'Institut Fourier, 1954: 131–295 [Google Scholar]
- XU Z. Choquet integrals of weighted intuitionistic fuzzy information[J]. Information Sciences, 2010, 180(5): 726–736. [Article] [Google Scholar]
- BAN A, FECHETE I. Componentwise decomposition of some lattice-valued fuzzy integrals[J]. Information Sciences, 2007, 177(6): 1430–1440. [Article] [Google Scholar]
- LI Lu. Intuitionistic fuzzy Choquet integrals and their application in modeling linguistic quantifiers[D]. Xi'an: Shaanxi Normal University, 2011 (in Chinese) [Google Scholar]
- MUROFUSHI T, SUGENO M. Fuzzy measures and fuzzy integrals[J]. Fuzzy Measures and Integrals: Theory and Applications, 2000, 2000: 3–41 [Google Scholar]
- TAN C, CHEN X. Intuitionistic fuzzy Choquet integral operator for multi-criteria decision making[J]. Expert Systems with Applications, 2010, 37(1): 149–157. [Article] [Google Scholar]
- SHAHRYARI NIA A, OLFAT L, ESMAEILI A, et al. Using fuzzy Choquet Integral operator for supplier selection with environmental considerations[J]. Journal of Business Economics and Management, 2016, 17(4): 503–526. [Article] [Google Scholar]
All Tables
All Figures
![]() |
图1 项目s1的犹豫度随α变化趋势 |
| In the text | |
![]() |
图2 项目s6的犹豫度随α变化趋势 |
| In the text | |
![]() |
图3 项目s3的犹豫度随α变化趋势 |
| In the text | |
![]() |
图4 项目s7的犹豫度随α变化趋势 |
| In the text | |
![]() |
图5 项目s9的犹豫度随α变化趋势 |
| In the text | |
![]() |
图6 项目s2的犹豫度随α变化趋势 |
| In the text | |
![]() |
图7 项目s3的犹豫度随α变化趋势 |
| In the text | |
![]() |
图8 项目s9的犹豫度随α变化趋势 |
| In the text | |
![]() |
图9 项目s1的犹豫度随α变化趋势 |
| In the text | |
![]() |
图10 项目s2的犹豫度随α变化趋势 |
| In the text | |
![]() |
图11 项目s3的犹豫度随α变化趋势 |
| In the text | |
Current usage metrics show cumulative count of Article Views (full-text article views including HTML views, PDF and ePub downloads, according to the available data) and Abstracts Views on Vision4Press platform.
Data correspond to usage on the plateform after 2015. The current usage metrics is available 48-96 hours after online publication and is updated daily on week days.
Initial download of the metrics may take a while.











