| Issue |
JNWPU
Volume 43, Number 6, December 2025
|
|
|---|---|---|
| Page(s) | 1208 - 1216 | |
| DOI | https://doi.org/10.1051/jnwpu/20254361208 | |
| Published online | 02 February 2026 | |
Study on method of eddy-current-loss suppression and power-factor enhancement of integrated magnetic-field-modulated machine
集成式磁场调制电机涡流损耗抑制与功率因数提升方法研究
1
Beijing Institute of Automatic Control Equipment, Beijing 100074, China
2
School of Automation, Northwestern Polytechnical University, Xi'an 710072, China
Received:
12
February
2025
Abstract
Integrated magnetic-field-modulated machine is a single-air-gap magnetic-field-modulated machine, which is highly integrated by using the magnetic gear and high-speed permanent-magnet machine. It has the advantages of compact structure, high torque density, high reliability, which has potential application prospects in aerospace area. However, this kind of machine uses the multiple modulation harmonics with small amplitude for energy conversation, resulting in the large harmonic loss and low power factor. To solve the above mentioned problems, the eddy current loss suppression and power factor enhancement methods of the integrated magnetic-field-modulated machine are studied. Firstly, the modulated magnetic-field composition of machine is analyzed to determine the contribution of permanent-magnet modulated harmonics and armature modulated harmonics to electromagnetic torque. Secondly, the loss production mechanism is studied. As the eddy current loss of permanent magnet is the main loss, the influence of the permanent magnet segmentation on the eddy current loss is studied. In order to optimize the air gap performance, two improved configurations of the modulated rotor are proposed. Thirdly, the expression of the power factor under different control strategy is deduced. The power factor enhancement method is studied in aspect of the control strategy and the machine design. Finally, a prototype of the integrated magnetic-field-modulated machine is manufactured. The test bench is built up to carry out the experiment. The experimental results verify the correctness and feasibility of the theoretical analysis. The results show that the circumferential segmentation scheme of the permanent magnet can reduce the eddy current loss by at least 75%. The sinusoidal-surface configuration of the modulated rotor can reduce the eddy current loss to 73% of the conventional configuration. By adjusting the input phase angle of the machine, the power factor can be increased by 25%, the eddy current loss can be reduced by 50%, and the efficiency can be increased by 10% without the sacrificing torque.
摘要
集成式磁场调制电机是一种由磁性齿轮与高速永磁电机高度集成的单气隙磁场调制原理电机, 具有结构紧凑、转矩密度高、可靠性高等优点, 在航天领域具有潜在应用前景。然而, 该类电机利用幅值小、次数多的调制谐波进行能量转换, 因此存在谐波损耗大、功率因数低的问题。针对以上问题, 对集成式磁场调制电机涡流损耗抑制与功率因数提升方法展开研究。对电机调制谐波磁场组成进行分析, 确定永磁调制谐波与定子电枢调制谐波对电磁转矩的贡献。对电机损耗产生机理进行研究, 确定永磁体涡流损耗为主要损耗, 研究永磁体分块对其影响规律; 为优化气隙磁导波形, 提出2种改进的调制转子构型。推导不同控制方式下电机功率因数表达式, 从电机控制策略和本体设计两方面出发, 探讨功率因数提升方法。研制样机, 搭建实验平台并进行实验测试, 验证理论分析的正确性与可行性。结果表明: 永磁体周向分块方案可使永磁体涡流损耗降低75%以上; 表面正弦的调制转子构型可使永磁体涡流损耗减小为改进前的73%;通过调节电机输入相角, 可在不牺牲转矩的前提下, 使功率因数提升25%, 永磁体涡流损耗降低50%, 效率提升10%。
Key words: integrated magnetic-field-modulated machine / finite element method / modulated harmonics / PM eddy loss / power factor
关键字 : 集成式磁场调制电机 / 有限元法 / 调制谐波 / 永磁体涡流损耗 / 功率因数
© 2025 Journal of Northwestern Polytechnical University. All rights reserved.
This is an Open Access article distributed under the terms of the Creative Commons Attribution License (https://creativecommons.org/licenses/by/4.0), which permits unrestricted use, distribution, and reproduction in any medium, provided the original work is properly cited.
空天飞行器是一种能自由往返于稠密大气、临近空间和轨道空间的新型可重复使用飞行器, 具有结构紧凑、飞行速度快、机动性能高、运行航时长等特点, 是未来航天运输系统的重要发展方向[1–4]。
作为空天飞行器高精度姿态控制的执行单元, 执行系统的性能直接决定了飞行器控制的动态品质与综合效能[5–6]。相比于液压执行机构, 电动执行机构用电缆取代液压管路, 具有结构相对简单、无油泄漏、操作性和维护性好等优点[7–9], 是飞行器执行系统的首选方案。然而, 现有电动执行机构的基本结构为电机带动机械传动链, 这种架构下电机-减速器串并联机构复杂、空间体积大, 降低执行系统集成度, 无法满足飞行器空间结构约束下外形包络设计; 多级传动机构存在传动间隙, 增大惯量与摩擦损耗, 影响执行系统精度、动态响应和带载效率, 制约飞行器机动性能的提升。此外, 机械传动链对复杂力热环境的适应性差, 在可靠性高、维护少的场合, 机械传动机构易卡死, 增加舵面操纵失效风险, 导致飞行任务失败。“电机-机械传动链”传统电动执行机构方案性能进一步提升遭遇瓶颈, 无法满足空天飞行器新背景下执行系统小型轻质化、高动态、高可靠的性能需求。为解决机械传动引发的问题, 英国谢菲尔德大学提出了基于磁场调制原理的磁性齿轮[10–11]。相比机械齿轮, 磁性齿轮利用永磁体实现非接触磁传动, 具有低噪声、免维护、过载保护、高精度传动等优点, 被视为机械齿轮的最佳替代品[12]。
为进一步提升空间结构紧凑型, 国内外学者提出将永磁同步电机与磁性齿轮的高速转子进行有机结合, 形成磁场调制电机[13–14]。根据集成程度, 磁场调制电机具有多种拓扑结构, 集成度低的拓扑结构具有高转矩密度与高功率因数等优势, 但是存在多层气隙和多个转子结构, 加工装配复杂[15–17]。集成度高的拓扑结构通常只有一层气隙和单个转子, 加工装配相对简单, 但转矩密度与功率因数受到影响[18–19]。此外, 该类电机是通过调制环的磁场调制原理进行机电能量转换的, 气隙中高频调制谐波含量丰富、有效调制谐波幅值较低, 因此存在永磁体涡流损耗大、功率因数低的共性问题, 这会显著增大永磁体退磁风险与驱动控制器成本, 限制磁场调制电机在空天飞行器中的推广应用[17–22]。
空天飞行器应用背景下, 作动系统体积受限, 需要具备高功率密度特性, 以保证其输出能力, 而提升功率因数是实现驱动侧高功率密度的有效手段。同时, 空天飞行器工作时力、热条件严苛, 这就需要作动系统具备低损耗特性, 以保证运行的安全性。故本文对一种单气隙集成式磁场调制电机涡流损耗抑制与功率因数提升方法开展研究。首先, 分析电机调制谐波磁场组成, 确定永磁调制谐波与定子电枢调制谐波对电磁转矩的贡献。其次, 对电机损耗产生机理进行研究, 确定永磁体涡流损耗为主要损耗, 研究永磁体分块对其影响规律。为优化气隙磁导波形, 提出2种改进的调制转子构型。再次, 从电机设计和控制策略两方面出发, 探讨功率因数影响因素, 为改善功率因数提供理论指导。最后, 研制样机, 搭建实验平台并进行实验测试, 验证理论分析的正确性和可行性。
1 电机结构及谐波分析
1.1 电机结构
本文研究的集成式磁场调制电机拓扑结构如图 1所示。
电机由定子与调制环转子两部分构成: 在定子上, 将永磁体置于定子铁心内侧, 省略一层气隙, 简化磁场调制电机结构; 在转子上, 将导磁块与转子铁心做成一体, 形成高机械强度调制环转子结构, 降低了加工难度, 提高该类电机的工程实用性。
![]() |
图1 集成式磁场调制电机拓扑结构 |
1.2 谐波分析
设定永磁体极对数为pp, 定子电枢磁场极对数为ps, 调制转子导磁块个数zm, 定子电枢磁场转速为Ωs, 调制转子转速为Ωm。根据磁场调制原理可知
(1)
(2)
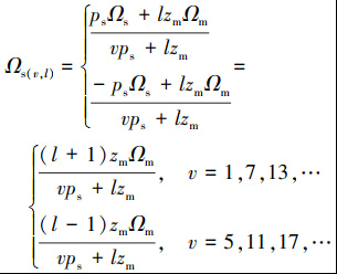
气隙中定子电枢调制谐波磁场极对数及转速为
(3)
(4)
式中, l=0, ±1, ±2, ±3, ···。
气隙中永磁调制谐波磁场的极对数及转速为
(5)
(6)
式中: h=1, 3, 5, ···;k=0, ±1, ±2, ±3, ···。
比较(3)式与(5)式、(4)式与(6)式, 可推导出当ps(v, l)=pp(h, k)且Ωs(v, l)=Ωp(h, k), 且h, k, v和l的关系满足(7)~(8)式, 这些谐波相互作用产生恒定电磁转矩, 因此定义此类谐波为有效谐波。
(7)
(8)
表 1给出了永磁调制谐波与定子电枢调制谐波相互作用对电磁转矩的贡献情况, 其中“1”代表它们之间相互作用可以产生恒定的电磁转矩, “0”代表它们之间相互作用不可以产生恒定的电磁转矩。由表 1可见, 有效谐波均由无调制转子时永磁磁场、定子电枢磁场的基波调制生成。
永磁调制谐波与定子电枢调制谐波相互作用对电磁转矩的贡献情况
2 涡流损耗研究
2.1 损耗分布
由谐波分析可知, 集成式磁场调制电机中存在大量的谐波磁场, 会产生谐波损耗。
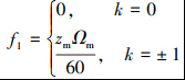
第pp(h, k)对极的谐波磁场在永磁体、定子铁心内的交变频率f1为
(9)
第pp(h, k)对极的谐波磁场在调制转子内的交变频率f2为
(10)
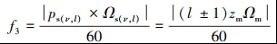
第ps(v, l)对极的谐波磁场在永磁体、定子铁心内的交变频率f3为
(11)
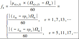
第ps(v, l)对极谐波磁场在调制转子内的交变频率f4为
(12)
选取pp=11, ps=3, zm=14方案进行电机不同区域内磁场分布与损耗研究。图 2~3分别为调制转子旋转一周时永磁体、定子铁心、调制转子内磁密分布。由图可见, 空载与负载状态下各部分磁密的变化频率是相同的, 负载状态下磁密幅值大于空载状态; 当调制转子旋转一周时, 永磁体、定子铁心内的主要谐波磁场交变14次, 调制转子内的主要谐波磁场交变11次, 与(9)~(12)式相符。
图 4为空载损耗与制动转矩随转子转速变化曲线。由图 4可见, 空载时永磁体涡流损耗是电机的主要损耗, 最高可占总损耗的93.3%, 定子铁耗略小于调制转子铁耗; 制动转矩的绝对值随着调制转子转速的增加而线性增大。图 5为恒定负载(12 Nm)下负载损耗随转子转速变化曲线。由图 5可见, 当转子转速小于800 r/min时, 铜耗是电机的主要损耗, 随转子转速增加, 制动转矩增大, 为克服制动转矩, 电机相电流由0增加至3.1A, 铜耗随之增大, 3 200 r/min下铜耗是400 r/min下铜耗的1.7倍; 当转子转速大于800 r/min时, 永磁体涡流损耗是电机的主要损耗, 比空载涡流损耗增加约1倍; 定子铁耗略大于调制转子铁耗。
![]() |
图2 永磁体与定子铁心内磁密分布 |
![]() |
图3 调制转子内磁密分布 |
![]() |
图4 空载损耗与制动转矩随电机转速的变化 |
![]() |
图5 负载损耗随电机转速的变化 |
2.2 永磁体分块对涡流损耗的影响
调制谐波在永磁体中的趋肤效应导致了集成式磁场调制电机显著的永磁体涡流损耗。图 6为空载与恒定负载条件下永磁体周向分块对永磁体涡流损耗的影响。由图 6可见, 永磁体周向分块可显著降低空载与负载永磁体涡流损耗。空载条件下, 永磁体周向分2块方案和3块方案的永磁体涡流损耗分别为永磁体不分块方案的30%与15%;恒定负载(12 Nm)下, 永磁体周向分2块和3块方案的永磁体涡流损耗分别为永磁体不分块方案的25%与12%。基于(9)式, 可得第pp(h, k)对极谐波磁场对永磁体的透入深度为: 17.1 mm(k=±1), 12.1 mm(k=±2), 9.873 mm(k=±3), 8.55 mm(k=±4), 7.65 mm(k=±5), 6.98 mm(k=±6)。永磁体周向分2块方案中, 每块永磁体宽11.353 mm, 可有效抑制pp(h, ±1), pp(h, ±2)次调制谐波在永磁体中的趋肤效应。永磁体周向分3块方案中, 每块永磁体宽7.57 mm, 可有效抑制pp(h, ±1)至pp(h, ±5)调制谐波在永磁体中的趋肤效应。因此, 永磁体周向分块个数越多, 可抑制越多的调制谐波在永磁体中的趋肤效应, 永磁体涡流损耗越小。
图 7为永磁体周向分块对空载制动转矩和负载相电流的影响。由图 7可见, 永磁体周向分3块方案的空载制动转矩仅为永磁体不分块方案的10%。在恒定负载(12 Nm)条件下, 随着调制转子转速增加, 电机相电流增加, 增加的相电流是为了克服随转速增加而增大的制动转矩; 永磁体周向分块方案的相电流显著小于永磁体不分块方案, Ωm=3 200 r/min时, 永磁体周向分3块方案的相电流比永磁体不分块方案降低了25%。
图 8为永磁体周向分块对电机效率的影响。由图 8可见, 永磁体不分块方案中, Ωm=400 r/min时电机效率最高, 为80.05%;当Ωm>400 r/min, 永磁体涡流损耗呈指数级增大, 电机效率快速下降。对于永磁体周向分块方案, 随着调制转子转速增加, 电机效率先增大后趋于平稳; Ωm=2 000 r/min时电机效率最高, 永磁体周向分2块和3块方案的最高效率分别为88.84%与92%。
![]() |
图6 永磁体周向分块对永磁体涡流损耗的影响 |
![]() |
图7 永磁体周向分块对制动转矩和负载相电流影响 |
![]() |
图8 永磁体周向分块对电机效率的影响 |
2.3 调制转子构型对涡流损耗的影响
由(9)式、(11)式可知, 若气隙磁导波形为理想正弦波, 永磁调制谐波在永磁体内的交变频率将变为(13)式, 定子电枢调制谐波在永磁体内的交变频率将变为(14)式。这种情况下, 永磁体中高频调制谐波将大大削减, 这会有效抑制调制谐波在永磁体中的趋肤效应, 降低永磁体涡流损耗。
(13)
(14)
为降低气隙磁导中的谐波, 本文提出2种改进的调制转子构型, 如图 9所示。其中, 图 9a)改进构型Ⅰ中的调制转子外圆由zm个正弦形波形构成, 图 9b)改进构型Ⅱ中的调制转子外圆由zm个圆弧波形构成。
图 10为空载与恒定负载条件下不同调制转子构型对永磁体涡流损耗的影响。由图 10可见, 调制转子改进构型Ⅰ与改进构型Ⅱ均可有效降低空载与负载永磁体涡流损耗。空载条件下, 调制转子改进构型Ⅰ与改进构型Ⅱ的永磁体涡流损耗分别为原构型的61.5%与70%;恒定负载(12 Nm)下, 调制转子改进构型Ⅰ与改进构型Ⅱ的气隙磁场谐波含量与改进前相比分别降低了12%与15%, 永磁体涡流损耗分别为改进前的73%与80%, 验证了理论分析的正确性。
图 11为调制转子构型对空载制动转矩和负载相电流的影响。由图 11可见, 调制转子改进构型Ⅰ与改进构型Ⅱ的空载制动转矩均小于原构型, 分别为原构型的64%与72%。在恒定负载(12 Nm)条件下, 调制转子改进构型的相电流均大于原构型, 这是由于调制转子改进构型在削减调制谐波含量的同时, 满足(7)~(8)式的调制谐波同样减少, 也就是贡献电磁转矩的有效谐波减少。因此, 为输出恒定转矩, 需增大电机相电流。其中, 改进方案Ⅱ中气隙磁导的正弦性小于改进方案Ⅰ, 其贡献电磁转矩的有效谐波数量大于改进方案Ⅰ, 因此, 相同转矩转速下, 改进方案Ⅱ中的相电流小于改进方案Ⅰ。Ωm=3 200 r/min时, 调制转子改进构型Ⅰ与改进构型Ⅱ的相电流分别比原构型增大12.5%与7.5%。
![]() |
图9 调制转子构型 |
![]() |
图10 调制转子构型对永磁体涡流损耗的影响 |
![]() |
图11 调制转子构型对制动转矩和负载相电流的影响 |
3 功率因数研究
集成式磁场调制电机通过谐波磁场进行能量传递, 谐波幅值比较小, 电机内部又存在漏磁现象, 导致功率因数低, 电机性能下降。本节中将对功率因数的影响因素进行分析, 研究其影响规律。
3.1 输入电流相角对功率因数的影响
在不同相电流下, 电机功率因数、电磁转矩随内功率因数角的变化规律如图 12~13所示。由图可见, 在一定范围内, 功率因数随着Ψ的增加而增大。当I=10 A, Ψ=30°以及I=20 A, Ψ=60°时, 功率因数可接近1。当Ψ在0°~20°范围内, 电磁转矩随内功率因数角增加而增大, Ψ=20°的电磁转矩比Ψ=0°(Id=0)增加7%;当Ψ取值在20°~90°时, 电磁转矩随内功率因数角的增加而下降; 当Ψ=40°, 电机电磁转矩与Ψ=0°相等, 而功率因数提升约25%。
在不同相电流I下, 电机永磁体涡流损耗、效率随内功率因数角的变化规律如图 14~15所示。由图可见, 永磁体涡流损耗随着内功率因数角的增加而显著降低。当Ψ=40°, 永磁体涡流损耗比Ψ=0°降低50%。随着内功率因数角增加, 电机效率呈现先增大后降低的趋势。当Ψ=40°, 电机效率比Ψ=0°提高10%。
![]() |
图12 内功率因数角对功率因数的影响 |
![]() |
图13 内功率因数角对电磁转矩的影响 |
![]() |
图14 内功率因数角对涡流损耗的影响 |
![]() |
图15 内功率因数角对效率的影响 |
3.2 极对数匹配对功率因数的影响
固定定子电枢磁场极对数ps=3, 保持调制环转子电磁转矩不变, 图 16给出了永磁体极对数改变时功率因数与相电流的变化规律。由图 16可见, 随着永磁体极对数增加, 功率因数先增大后减小; 相电流则是先减小后逐渐趋于平稳。图 17给出了永磁体极对数改变时空载反电动势与空载气隙磁密基波幅值的变化规律。由图 17可见, 当永磁体极对数增加, 二者呈现相似的先增大后减小的变化趋势。这主要是由于当永磁体极对数和导磁块个数较小时, 电机调制效果差, 功率因数较低; 随着永磁体极对数与导磁块个数增加, 磁场调制效应变好, 气隙磁密基波幅值与空载反电势增大, 相电流降低, 功率因数增大; 而当永磁体极对数大于9时, 继续增加永磁体极对数与导磁块个数, 永磁体间漏磁增大, 导致气隙磁密基波幅值变小, 空载反电势幅值变小, 功率因数也变小。
![]() |
图16 永磁体极对数对功率因数和相电流的影响 |
![]() |
图17 永磁体极对数对空载反电动势和空载气隙磁密基波幅值的影响 |
4 试验验证
为验证理论分析的正确性与可行性, 本文研制了1台单气隙集成式磁场调制电机原理样机, 其试验测试平台如图 18所示。
图 19为测试的功率因数随内功率因数角的变化规律。由图 19可见, 当内功率因数角在0°~40°时, 功率因数呈增大趋势, Ψ=40°的功率因数比Ψ=0°提升7.3%;当内功率因数角大于40°时, 功率因数显著降低。实验结果表明, 通过调节电机输入电流相角可改善功率因数。
图 20为电机空载损耗及制动转矩随电机转速变化曲线。由图 20可见, 随着电机转速不断增加, 电机损耗增大, 制动转矩绝对值增大, 实测趋势与理论分析一致。
![]() |
图18 电机测试平台 |
![]() |
图19 功率因数随内功率因数角变化曲线 |
![]() |
图20 电机空载损耗及制动转矩随电机转速的变化曲线 |
5 结论
本文对集成式磁场调制电机的涡流损耗抑制与功率因数提升方法进行研究, 结论如下:
1) 永磁磁场和定子电枢磁场基波调制出来的谐波磁场才能产生恒定的电磁转矩。
2) 永磁体涡流损耗为电机的主要损耗, 永磁体周向分块方案可显著降低永磁体涡流损耗。负载时永磁体周向分2块和3块方案的永磁体涡流损耗分别为永磁体不分块方案的25%与12%, 最高效率分别提升8.8%与12%。
3) 提出2种改进调制转子构型: 正弦形与圆弧形表面方案, 可通过优化气隙磁导波形调制转子改进构型, 有效消减调制谐波含量, 进而降低永磁体涡流损耗。负载时正弦形表面方案与圆弧形表面方案的永磁体涡流损耗分别为改进前的73%与80%。
4) 改变电机输入电流相角可同时优化功率因数与永磁体涡流损耗。当Ψ=40°, 电机电磁转矩与Ψ=0°相等, 功率因数提升25%, 永磁体涡流损耗比Ψ=0°降低50%, 效率提升10%。
5) 通过匹配ps, pp, zm, 可提高电机功率因数。
References
- DENEU F, MALASSIGNE M, LE-COULS O, et al. Promising solutions for fully reusable two-stage-to-orbit configurations[J]. Acta Astronautica, 2005, 56(8): 729–736. [Article] [Google Scholar]
- GRANTZ A. X-37B orbital test vehicle and derivatives[C]//AIAA SPACE 2011 Conference & Exposition, Long Beach, 2011: 7315 [Google Scholar]
- PIAO Minnan, CHEN Zhigang, SUN Mingwei, et al. Adaptive aeroservoelasticity suppression of hypersonic vehicles[J]. Acta Aeronautica et Astronautica Sinica, 2020, 41(11): 51–65 (in Chinese) [Google Scholar]
- HUANG Lin, DUAN Zhisheng, YANG Jianying. Challenges of control science in near space hypersonic aircrafts[J]. Control Theory and Technology, 2011, 28(10): 1496–1505 (in Chinese) [Google Scholar]
- SUN Jiameng, ZUO Guang, XU Yizhe, et al. Numerical simulation of weapon delivery schemes for hypersonic vehicles in near space[J]. Acta Aeronautica et Astronautica Sinica, 2023, 44(13): 27–42 (in Chinese) [Google Scholar]
- SARLIOGLU B, MORRIS C T. More electric aircraft: review, challenges and opportunities for commercial transport aircraft[J]. IEEE Trans on Electrification, 2015, 1(1): 54–64. [Article] [Google Scholar]
- VILLANI M, TURSINI M, FABRI G, et al. Electromechanical actuator for helicopter rotor damper application[J]. IEEE Trans on Industry Application, 2014, 50(2): 1007–1014. [Article] [Google Scholar]
- HAO Zhenyang, HU Yuwen. Design and experimental analysis on the control system of high reliability fault tolerant permanent magnet motor used in electric actuator[J]. Acta Aeronautica et Astronautica Sinica, 2013, 34(1): 141–152 (in Chinese) [Google Scholar]
- ATALLAH K, HOWE D. A novel high-performance magnetic gear[J]. IEEE Trans on Magnetics, 2001, 37(4): 2844–2846. [Article] [Google Scholar]
- ATALLAH K, CALVERLEY S D, HOWE D. Design analysis and realization of a high-performance magnetic gear[J]. IEE Proceedings Electric Power Application, 2004, 151(2): 135–143. [Article] [Google Scholar]
- ACHARYA V M, BIRD J Z, CALVIN M. A flux focusing axial magnetic gear[J]. IEEE Trans on Magnetics, 2013, 49(7): 4092–4095. [Article] [Google Scholar]
- CHENG Ming, WEN Honghui, HUA Wei, et al. General airgap field modulation theory for electrical machines and its typical applications[J]. Proceedings of the CSEE, 2021, 41(24): 8261–8283 (in Chinese) [Google Scholar]
- HUANG Hailin, LI Dawei, QU Ronghai, et al. A review of magnetic geared machines: topologies and applications[J]. Transactions of China Electrotechnical Society, 2022, 37(6): 1381–1397 (in Chinese) [Google Scholar]
- JIAN L N, GONG W S, XU G Q, et al. Integrated magnetic-geared machine with sandwiched armature stator for low-speed large-torque applications[J]. IEEE Trans on Magnetics, 2012, 48(11): 4184–4187. [Article] [Google Scholar]
- BAI J G, LIU J Q, ZHENG P, et al. Design and analysis of a magnetic-field modulated brushless double-rotor machine-part Ⅰ: pole pair combination of stator, PM rotor and magnetic blocks[J]. IEEE Trans on Industrial Electronics, 2019, 66(4): 2540–2549. [Article] [Google Scholar]
- HUSSAIN E K, ATALLAH K, ODAVIC M, et al. Pseudo direct drive electrical machines for flight control surface actuation[C]//8th IET International Conference on Power Electronics, Machines and Drives, Glasgow, 2016: 1–6 [Google Scholar]
- YIN X, FANG Y T, HUANG X Y, et al. Analytical modeling of a novel vernier pseudo direct drive permanent magnet machine[J]. IEEE Trans on Magnetics, 2017, 53(6): 1–4 [Google Scholar]
- BALOCH N, KWON B, GAO Y. Low-cost high-torque-density dual-stator consequent-pole permanent magnet vernier machine[J]. IEEE Trans on Magnetics, 2018, 54(11): 8206105 [Google Scholar]
- BAI J G, LIU J Q, LIU G P, et al. Investigation of the power factor of magnetic-field modulated brushless double-rotor machine[J]. IEEE Trans on Power Electronics, 2021, 36(1): 423–432. [Article] [Google Scholar]
- SONG Xinxin, ZHAO Wenxiang, CHENG Yu. Unity power factor field weakening control of field-modulated permanent magnet linear modulation motor with open winding[J]. Transactions of China Electrotechnical Society, 2021, 36(5): 893–901 (in Chinese) [Google Scholar]
- ZHU Z Q. Overview of novel magnetically geared machines with partitioned stators[J]. IET Electric Power Applications, 2018, 12(5): 595–604. [Article] [Google Scholar]
- HAO Zhenyang, HU Yuwen, HUANG Wenxin, et al. Analysis of inductance and harmonics of fault-tolerant permanent magnet machine in electromechanical actuators[J]. Acta Aeronautica et Astronautica Sinica, 2009, 30(6): 1063–1069 (in Chinese) [Google Scholar]
All Tables
All Figures
![]() |
图1 集成式磁场调制电机拓扑结构 |
| In the text | |
![]() |
图2 永磁体与定子铁心内磁密分布 |
| In the text | |
![]() |
图3 调制转子内磁密分布 |
| In the text | |
![]() |
图4 空载损耗与制动转矩随电机转速的变化 |
| In the text | |
![]() |
图5 负载损耗随电机转速的变化 |
| In the text | |
![]() |
图6 永磁体周向分块对永磁体涡流损耗的影响 |
| In the text | |
![]() |
图7 永磁体周向分块对制动转矩和负载相电流影响 |
| In the text | |
![]() |
图8 永磁体周向分块对电机效率的影响 |
| In the text | |
![]() |
图9 调制转子构型 |
| In the text | |
![]() |
图10 调制转子构型对永磁体涡流损耗的影响 |
| In the text | |
![]() |
图11 调制转子构型对制动转矩和负载相电流的影响 |
| In the text | |
![]() |
图12 内功率因数角对功率因数的影响 |
| In the text | |
![]() |
图13 内功率因数角对电磁转矩的影响 |
| In the text | |
![]() |
图14 内功率因数角对涡流损耗的影响 |
| In the text | |
![]() |
图15 内功率因数角对效率的影响 |
| In the text | |
![]() |
图16 永磁体极对数对功率因数和相电流的影响 |
| In the text | |
![]() |
图17 永磁体极对数对空载反电动势和空载气隙磁密基波幅值的影响 |
| In the text | |
![]() |
图18 电机测试平台 |
| In the text | |
![]() |
图19 功率因数随内功率因数角变化曲线 |
| In the text | |
![]() |
图20 电机空载损耗及制动转矩随电机转速的变化曲线 |
| In the text | |
Current usage metrics show cumulative count of Article Views (full-text article views including HTML views, PDF and ePub downloads, according to the available data) and Abstracts Views on Vision4Press platform.
Data correspond to usage on the plateform after 2015. The current usage metrics is available 48-96 hours after online publication and is updated daily on week days.
Initial download of the metrics may take a while.




















